Ab²A²B²2Ab
702.682
0:16
Find A,Bz I 2Ab To Ab2 Of 1 262
172
5:37
Factor A B - 2Ab A B - 2 1 - Ab2 Olympiad Question
1.014
5:40
Abc² Maths Formula Shorts Algebra Formula
273.941
0:33
Algebra Formula बजगणतय सतर
2.336.354
0:05
A2B21 Ab3 A-B2?
194
0:15
P.341
102
5:07
Algebra Formulas. Algebraic Formulas. Some...
1.332.866
0:06
A Nice Algebra Question A 1B 1 , B 1C 1 , Abc ?
1.508
3:12
If Abc0 Then Find The Value Of 12A²Bc 12B²Ca...
89
10:37
A3 B3 C3 - 3Abc ? A Cube B Cube C Cube- 3Abc...
94.579
Fun Math,1A1Ab1Abc1,Nice Algebra...
644
3:50
A - B-C Whole Square Formula Expectations Vs....
26
4:31
Show That Lhs Rhs, If Abc 1. Tips And Tricks,...
25
Why Is A - B² A² - 2Ab B² Cheat Sheet
7
2:00
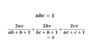
Solve The Algebraic Equation, Abc1, 2Axabb1...
989
4:54
Cách Tìm Số Tự Nhiên Abc Biết Abc X 9 1Abc Toán...
6.419
4:16
If A - B 3 B-C5 C -A 1 Then The Value Of...
967
1:23
Schitag 1Abc
256
0:55
Antwoordpsalm Voor De Vooravond Van Pinksteren
770
2:31
The Determinants 1 A B C 1 B C A 1 C A B And 1 A...
1.639
4:58
In Abc It Is Given That Abc Cos Acos Bcos C...
1
4:45
Expand Vi 2A - 1A 2 8 Idenies Maths Icse Doubtnut
93
A,B Are Ve Real Numbers And Ab1. Show That...
131
11:19
If A B C 1, Ab Bc Ca 2 And Abc 3, Then The Value...
4.462
4:28
By Using Properties Of Determinants, Show That...
956
4:07
50 Jahre Mumittelschulen - Wir Waren In Graz Dabei
198
1:27
The Value Of The Determinant...
962
4:20
The Horde 10 Alburga 4Abc
83
7:37
Atividade 1 3ºbim Eletiva Engrenagens...
69
10:52