5M In The Bank
4.226.776
0:19
Why The First 5M Is The Hardest
69.840
0:22
0.01 Vs 1 Million
48.273.636
0:44
Meaning Of Million, Billion, Trillion मलयन, बलयन,...
1.646.197
0:15
True Scale Of A Billion And Trillion Dollars...
2.267.685
2:44
The Most Wholesome Math Equation
179.357.690
0:16
My Squishy Is Magic
37.783.479
0:59
How Much Does 13,000,000 Youtube Views Pay You?
11.647.227
0:24
Warren Buffett On Index Funds.
308.238
0:32
Bill Gates Vs Human Calculator
126.701.340
0:51
1.6 Million Cash Today Or 100 Billion In 10 Years?
1.725.922
0:18
Percentage Trick Vs Reality
5.363.820
Math Decimal Numbers In Standard Form.
300.851
Adding Mixed Numbers Made Easy Justicethetutor
642.809
Integer Subtraction Using A Number Line Easy
559.316
0:12
Memory Trick Easiest Way To Remember Pi
6.175.342
20 Pips Is All You Need. Let Me Show You Why
508.554
0:25
Germanys 5 3 Million Wwii Deaths Equal Entire...
2.517
0:05
X Finds Out His Value
13.985.758
3:56
Why Women Will Never Be Equal To Men In Sports...
6
10:30
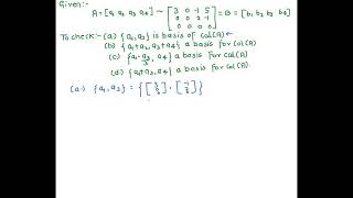
6 Consider The Following Row Equivalent Matrices...
2
1:23
Math Antics - Convert Any Fraction To A Decimal
7.715.606
6:43
Birdman - 100 Million Ft. Young Jeezy, Rick Ross,...
38.197.809
5:13
Sick Century - A Million Pieces 5323...
209
4:10
How Beluga Gained 4 Million Subscribers In 3...
6.738.241
10:37
Matchbox Twenty - 3Am Official Video Hd Remaster
152.134.593
3:47
Greater Than Less Than Song For Kids Comparing...
6.427.291
Best F2P Weapon For Skirk?? 3 Star Vs 5 Star...
119.958
0:47
Sender Of Usd 5 3 Million Eth Transactions...
18
1:50
Parts Per Million Ppm And Parts Per Billion Ppb -...
614.660
11:00